Tmt comp background

Time Domain Science

Time Domain Science

Time domain astronomy as discussed here is the study of transient and variable sources, see figure below. Transients are usually the result of some kind of explosion or collision that leads to a change in the physical character of the source (e.g. supernovae, gamma-ray bursts, neutron star mergers), or a result of accretion of matter (nova outbursts, tidal disruption events, AGN flares). These events are unpredictable, show a temporal evolution of the physical conditions, and often fall below the detection threshold when faint. Such Target of Opportunity (ToO) transient events generally require a rapid response to a trigger of observations. Variability in sources can be intrinsic; caused by either a change in the physical conditions (e.g. Cepheid Variables, stellar flares), or accretion induced (e.g. cataclysmic variables, AGN), or extrinsic; as a result of geometry (e.g. binaries, lensed objects, transiting planets). Variability observations can be time dependent, or time critical requiring observations that are time-resolved.

Time-domain astronomy will be an exciting area of research in the TMT era, in part thanks to the synergy with various surveys from up-coming facilities such as the Rubin Observatory, WFIRST, and Euclid, and the search for gravitational wave sources (see Section 9.5 of the TMT Detailed Science Case). In this page, we discuss a few interesting time-domain science cases that benefit from the unique capabilities of TMT.

Time domain tree

Variability tree summarizing different kinds of variable objects. In this chapter we describe a subset of examples that have high scientific impact and require more stringent observing capabilities and operational modes

Understanding the Nature of Type 1A Supernovae

Over the past decades, Type Ia supernovae (SNe Ia) have been used as one of the best distance indicators to measure extragalactic distances. Observations of such events at higher redshifts directly led to the discovery of accelerating universe (Riess et al. 1998; Perlmutter et al. 1999). Of the existing methods to measure the dark energy equation-of-state (EOS) parameter w, the distances to SNe Ia provide the best single constraint up to date. This recently inspired many wide-field supernova surveys such as the Palomar Transient Factory (PTF), the La-Silla Quest Supernova Survey (LQSS), and the Dark Energy Survey (DES) that discovered thousands of SNe Ia that exploded in the local and distant universe. This number is expected to increase dramatically, especially at high redshifts with the planned future wide field surveys.

An increased sample of SNe Ia will reduce the allowed ranges of various cosmological parameters due to improved statistics (Pandey, 2013). However, accurate determination of the dark energy EOS parameter still relies on a better control of the systematic effects in determining the distance to each SNe Ia. The larger systematic uncertainties include dust absorption, environmental dependencies of the observables, and possible evolution with redshift (e.g., Howell 2011; Wang et al. 2013). Because of the huge light collecting area, IR capability, and the powerful AO system, TMT will make important contributions to unveil the nature of SNe Ia and improve their applications in precision cosmology.

lensed supernova

HST WFC3 images of a supernova gravitationally lensed by an early type galaxy cluster (Kelly et al. 2014).

Identifying the Schock Breakout of Core-Collapse Supernovae

Massive stars end their lives as core-collapse SNe. As a result of core-collapse, a shock wave is formed in the star, which propagates its stellar mantle outward. When the shock wave emerges from the stellar surface, a fireball suddenly appears. This is the brightest radiative phenomenon in a supernova, called “shock breakout” (see Figure 9.4 of the TMT Detailed Science Case). Its observational properties, e.g., duration and color, strongly depend on the pre-supernova radius; the shock breakout of a star with a larger pre-supernova radius has a longer duration and redder color. Therefore, detection of shock breakout will provide a direct link between SNe and their progenitor stars. The typical duration and peak wavelength are several seconds to 1 day and soft X-ray to ultraviolet, respectively. Since the shock breakout can be detected even z > 1, it can be used to probe the star formation rate at high redshifts (e.g., Chugai et al. 2000). However, the short duration and soft X-ray/UV-peaked spectra make the detection of shock breakout difficult. There are only serendipitous detections in the rising phase of a Type Ib SN (at 27 Mpc, Soderberg et al. 2008), Type II plateau SN (z = 0.185, Schawinski et al. 2008; Gezari et al. 2008), and SN II-P (z = 0.324, Gezari et al. 2008).

In spite of the soft X-ray/UV-peaked spectra, it is shown that the shock breakouts will be most effectively detected by optical facilities, such as Subaru/Hyper Suprime-Cam (HSC) and the Rubin Observatory, with deep and wide-field capability (Tominaga et al. 2011). The redshift range of the detection extends to z ≥ 2.5 with the limiting magnitude in g’ band of 27.5 mag. According to theoretical predictions, the typical decline rate of the shock breakout is 0.1 mag/hr at z = 2 and a quasi-black body spectrum characterizing the shock breakout is more clearly identified at earlier phases (Gezari et al. 2008). The first role of TMT for studies of shock breakouts is a spectroscopic identification. This is achieved only with a rapid (< 1 night) target of opportunity (ToO) observation. Since the shock breakout is blue and has smooth spectra, the most suitable instrument is WFOS with R≤500. Spectroscopic data taken with 1-2 hr sampling would give unique information of the temperature evolution on the first day of SNe. The second role is a continuous (∼ 2 − 3 days) observation following the first ToO observation to reveal the spectral evolution of supernovae during the very early epochs in which metal lines gradually become prominent. The evolution will provide clues to properties of shock breakouts and supernovae, e.g., pre-supernova radius, CSM structure, and mass loss at the last stage of the evolution.

Tracing the High-z Universe with Supernovae

Core-collapse supernovae are the fates of massive stars with short life times and thus can be used to trace the star formation history of the Universe. Although such a study has been difficult at high redshift due to their faintness, a combination of planned transient surveys with 8-10m class telescopes and spectroscopic identification by TMT will dramatically change this situation. Since SNe are detectable even in diffuse galaxies, the derived cosmic star formation history is independent/complementary to that derived from galaxy studies.

Very bright subclasses of SNe are one of the most promising targets. With optical surveys using 8-10m class telescopes, bright Type IIn SNe (SNe with narrow emission lines) and “superluminous” SNe can be detectable even at z > 6. Spectroscopic observations with TMT will be critical to firmly identify such high-z events, as current 8-10m telescopes do not have spectral sensitivity to identify SNe at z > 3. These classes of SNe tend to show a blue spectrum, thus TMT/WFOS will be the best to obtain the rest-frame far-UV emission. A response time of ~10 days is enough as these classes of SNe show relatively long-lived light curves. An interesting application of identification of high-z SNe is probing the IMF in the early Universe. At high redshifts, we may also be able to detect pair instability SNe (PISNe, e.g., Scannapieco et al. 2005). Since superluminous SNe and PISNe are thought to arise from very massive progenitors, a number ratio of these types of SNe and normal SNe will provide unique information about the initial mass function.

To study the high-z Universe with SNe, a better understanding of SN rate in the low-z Universe is also critical. Currently, the SN search and follow-up in the most active star-forming regions are rather limited, while such regions can provide a large fraction of the star formation in the local Universe and even a dominant fraction toward high redshifts, interstellar extinction is one of the major limiting factors (Mattila et al. 2012). The main problem is that the spectroscopic follow-up is currently nearly impossible, thus even the SN typing has not been secured – at z = 0.03, a typical SN would have a peak magnitude of J ~ 22 – 23 if J band extinction toward the SNe is ~ 5 mag. TMT will make the spectroscopic follow-up for these obscured SNe possible, clarifying for the first time the SN populations and stellar evolution in the active star forming galaxies.

Characterizing the Circumstellar Environment around Supernovae Clues to the Identity of the Progenitor Systems

Detection of circumstellar material (CSM) around SNe could provide an alternative way of discriminating different evolution scenarios. If SNe Ia arise from single white dwarfs in binary systems, one generally expects that there should also be considerable H-rich (or possibly He-rich) CSM within tens of AU around the progenitor system. Claims for detection of such CSM around a few nearby SNe Ia have been made in recent years, based on the discovery of time-variable Na I absorptions in several cases (Patat et al. 2007; Simon et al. 2009, Dilday et al. 2012). On the other hand, there is also evidence for non-detections of variable Na I lines in SNe Ia (Simon et al. 2007; Patat et al. 2013). Such a dichotomy might be related to differences in the progenitor environments, as suggested by the correlation of the ejecta velocity VSiII with the location in their host galaxies. Nevertheless, the origin of the absorbing clouds is still controversial, as such absorptions may also arise in a Double Degenerate white dwarf scenario or interstellar medium (Chugai 2008; Shen et al. 2013). To address this issue, one needs a larger sample of SNe Ia with multi-epoch, high-resolution spectra.

At the distance of the Virgo cluster (∼16 Mpc), for a SN Ia discovered within 1 day after explosion, the typical R-band magnitude is about 19.0-20.0, well before the maximum brightness 10 to 20 days after. TMT/WFOS can provide the highest spectral sensitivity with complete wavelength coverage (0.33-1.0 μm) in a slit-viewing target acquisition mode. A resolution of R≥5000 enables measurements of the overall evolution of Na I and Ca II absorption, allowing important parameters of the absorbing material that may be associated with the progenitor system to be determined. This includes the distance to the absorbing material, recombination timescale of Na ions, and outflow velocity, parameters important for understanding the origin of the absorbing cloud and hence the nature of the companion stars.

Identification and Investigation of Gravitational-Wave Sources

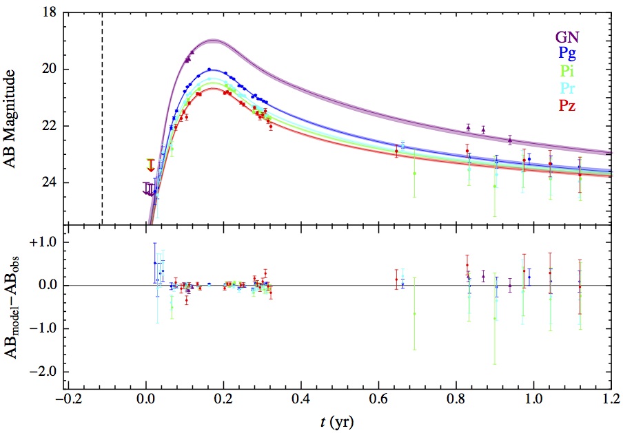
The 2nd-generation gravitational-wave (GW) detectors, such as advanced LIGO, advanced Virgo, INDIGO and KAGRA, are planned to be operational in the TMT era. They are expected to directly detect GWs from neutron star (NS) mergers at a distance within about 200 Mpc. The number of GW detections will be in a range of 0.4-400 per year (e.g., Abadie et al. 2010). With the GW detection alone, the position of the sources can only be moderately determined with a localization of about 10-100 deg2 (e.g., Abadie et al. 2012; Nissanke et al. 2013). Therefore, to fully understand the nature of the GW sources, electromagnetic observations should pin down the position of the sources and identify the host galaxy and environment. Among possible electromagnetic emissions from the NS merger, optical and near-infrared emission powered by radioactive decay energy, so called kilonova (see Section 9.6 of the TMT Detailed Science Case), are of great interest (Li & Paczynski 1998; Kulkarni 2005; Metzger et al. 2010) because of the isotropic nature of the emission and the relatively short rise time of ~1 day after the merger (i.e., the detection of GWs).

Detailed numerical simulations of the EM counterparts of NS mergers (Kasen et al. 2013; Barnes & Kasen 2013; Tanaka & Hotokezaka 2013; Tanaka et al. 2014) show that the expected emission peaks at the red edge of optical or near infrared wavelengths. At 200 Mpc, the expected brightness is 22 - 25 mag in i or z bands and 21-24 mag in NIR JHK bands (in AB magnitude). Transient search observations with wide-field 8m-class telescopes in optical and wide-field space telescopes in NIR (e.g., WFIRST) are crucial to detect the electromagnetic counterpart of GW sources. Deep transient surveys using 8m-class telescopes will discover an overwhelming number of SNe within the GW localization area (~50 SNe/deg2/yr with 24 mag depth, Lien & Fields 2009). Therefore, rapid ToO response follow-up spectroscopy (R∼500) within 1 day with either TMT WFOS or IRIS will be critical to identify the detected transient as a true GW source, by finding the expected red, featureless spectrum. Similar observations daily over the following 14 days will allow tests of models of the evolution of the ejecta.

The source of certain r-process (i.e. heavy) elements is controversial, theoretical studies favor creation in NS mergers over supernovae. Observations of the evolving GW source EM spectrum as described above will allow the characterization of the expected r-process elements and settle the controversy (Kasen, Fernandez & Metzger 2015).

Understanding Progenitors of Gamma-Ray Bursts

Gamma-ray bursts (GRBs) are observed through the whole electromagnetic spectrum, from GHz radio waves to 10 MeV gamma-rays. Although each is unique, the bursts fall into two rough categories. Bursts lasting less than two seconds are classified as short, and those that last longer, the observed majority, as long. All of the confirmed long GRB host galaxies are actively forming stars. The total stellar mass in these host galaxies is low and their colors are bluer than present-day spiral galaxies. The ages implied for the progenitors of long GRBs are estimated to be < 0.2 Gyr which is significantly younger than the minimum ages derived for the early-type galaxies found to be associated with short GRBs. These results suggest that (1) long GRBs arise from young massive stars (e.g., Woosley & Bloom 2006), and (2) short GRBs are results of neutron star mergers (e.g., Berger 2013).

Observations of long GRBs at low redshifts clearly show that SNe arise from the GRBs themselves. However, clear spectroscopic confirmation of SNe is limited to low-redshift GRBs because at z>0.5-1.0, the SN component is too faint and most of the important features are redshifted to NIR wavelengths. TMT/IRIS will enable spectroscopic identification of SNe in long GRBs at z=0.5-1.0. For this purpose, continuous spectroscopic monitoring from ~1 day to 30 days after the GRB is important. Even at low redshifts, for some GRBs, no SN component was discovered down to a flux limit at least hundreds of times fainter than the expected SN flux (Gehrels et al. 2006; Della Valle et al. 2006; Gal-Yam et al. 2006). Spectroscopy with TMT/WFOS will be important to search for the SN component in low-redshift GRBs if GRBs are possibly associated with faint SNe.

In contrast to long GRBs, any supernova-like event accompanying short GRBs is currently limited by observation to being over 50 times fainter than normal Type Ia SNe or Type Ic hypernovae (Kann et al. 2011). Recently, a NIR excess associated with a short GRB (Tanvir et al. 2013; Berger et al. 2013) was broadly consistent with the expectation of an r-process powered kilonova (Bernes & Kasen 2013; Tanaka & Hotokezaka 2013). However, current observational data is only one NIR photometric point with HST, and the source is too faint for spectroscopy. To fully understand the progenitor of short GRBs, TMT/IRIS will be the ideal instrument to perform ToO NIR spectroscopic observations of kilonova event associated with short GRBs, at a timescale of <~ 1 day.

Probing the High-z Universe with Gamma-Ray Bursts

While interesting on their own, long GRBs are rapidly becoming powerful tools to study the high-redshift universe and galaxy evolution due to their apparent association with massive star formation and brilliant luminosities (Pandey, 2013). There are three basic ways of investigating the evolution of luminous matter and gas in the Universe: (1) direct detection of host galaxies in emission (in the UV/optical/NIR for the un-obscured components, in the FIR/sub-mm/radio for the obscured component), (2) the detection of galaxies selected in absorption along the lines of sight to luminous background sources, traditionally QSOs, (3) diffuse extragalactic backgrounds. Studies of GRB hosts and afterglows can contribute to all three of these methodological approaches, bringing in new, independent constraints for models of galaxy evolution and of the history of star formation in the universe.

Absorption spectroscopy of GRB afterglows is now becoming a powerful new probe of the ISM in evolving galaxies, complementary to traditional studies of background-quasar absorption line systems. The key point is that the GRBs probe lines of sight in the dense, central regions of their host galaxies. In contrast, the background-quasar absorption systems are selected by the gas cross section, and favor large impact parameters, mostly probing the gaseous halos of intervening or foreground field galaxies, where the physical conditions are very different to the dense central regions where GRBs occur. The growing body of data on GRB absorption systems shows exceptionally high column densities of gas, when compared to the typical quasar absorption systems. This opens the interesting prospect of using GRB absorbers as a new probe of the chemical enrichment history in galaxies in a more direct manner than with the quasar absorbers, where there may be very complex dynamics of gas ejection, infall, and mixing at play.

Possibly the most interesting use of GRBs in cosmology is as probes of the early phases of star and galaxy formation (e.g., Robertson & Ellis 2012), and the resulting re-ionization of the universe. GRBs are bright enough to be detectable, in principle, out to much larger distances than those of the most luminous quasars or galaxies detected at present. Within the first minutes to hours after the burst, the optical light from afterglows is known to have a range of visual magnitudes far brighter than quasars, albeit for a short time. To identify GRBs to be high-z events, prompt NIR spectroscopic observations of high-z GRBs are essential. Required response time is ~5 minutes from the discovery (discovery is essentially instantaneous) and brightness changes of up to a factor 10 per minute can occur.

Studying Tidal Disruption Events and SMBH
ligh curve of TDE PS1-10jh

Observed and modeled light curves of TDE PS1-10jh (Guillochon et al. 2014).

The nuclei of some galaxies undergo violent activity, with quasars being the most extreme instances of this phenomenon. Such activity is short-lived compared to galactic lifetimes, and was more prevalent when the Universe was only about one-fifth of its present age (Kormendy and Richstone 1995). Dead quasars – massive black holes now starved of fuel, and therefore quiescent – should be more common than active quasars and are now being discovered in nearby galaxies (Ho 2008). The presence of these black holes is not surprising – we expect to find a black hole in most galaxies on the basis of the number density of quasars and their typical lifetimes (Soltan 1982; Chokshi and Turner 1992). But we must ask a further question: can a black hole lurk in these quiescent galaxies without showing other evidence for its presence? So could a black hole be so completely starved of fuel that it does not reveal its presence? The search for switched off, dim or dead engines – starving black holes – has therefore become one of the hottest topics in extragalactic astronomy.

Each star near a massive black hole traces out a complicated orbit under the combined influence of all other stars and the black hole itself. Due to the cumulative effect of encounters with other stars the orbits gradually diffuse. If a star wanders too close to the black hole it is violently ripped apart by the black hole’s tidal field – a tidal disruption event (TDE) (Rees 1988). About half of the debris of tidal disruption eventually falls back and accretes onto the black hole. This accretion powers a flare, which is a definitive sign of the presence of an otherwise quiescent supermassive black hole and a powerful diagnostic of its properties.

Only two claimed TDEs capture the rise, peak and decay of the flare with both photometric and spectroscopic observations (Gezari et al. 2012 and Chornock et al. 2014). Capturing all three phases photometrically and with additional spectroscopic information, these impressive data sets have already shown several interesting behaviors indicating that TDEs are not as simple as one might first guess. The light curve is consistent with the bolometric luminosity closely following the rate of mass fallback (Guillochon et al. 2014), suggesting that the accretion disk viscous time is significantly shorter than the fallback time, and that the returning material must circularize by the first epoch of observation. The spectra resemble a single blackbody, with a temperature that evolves weakly in time, and a radius 10 times larger than the tidal disruption radius. As the light from the accretion disk itself should appear as a superposition of hotter blackbodies, this hints at the presence of a spatially extended reprocessing region surrounding the disk. The fact that broad HeII emission lines are seen, but hydrogen lines are missing suggests that material may be highly ionized, and outflowing at velocities ∼10,000 km s−1, reminiscent of the broad-line regions (BLRs) found around some steadily-accreting AGN.

Ongoing and future transient surveys and future radio surveys are predicted to discover 10–100 such events per year (van Velzen et al. 2011). ZTF as of 2021 had amassed a set of over two dozen TDEs. Depending on the black hole mass, these events are expected to last for a few days to a few months. Imaging with TMT’s IRIS would precisely establish the position of the source. Optical spectroscopic follow-up observations provide diagnostics which help elucidate the demography of massive black holes in the local Universe. Data should be taken in the rise, peak, and decay phases with frequent cadence. Each of these phases of a TDE contains vital information about the disruption, and can be used to constrain the properties of the host black hole and the object that was disrupted.

The modeling of tidal disruption will also be significantly improved once a large sample of TDEs has been collected. Tidal disruptions offer a unique opportunity to study a single black hole under a set of conditions that change over a range of timescales. Tidal disruption events offer the firmest hope of studying the evolution of their accretion disks for a wide range of mass accretion rates and feeding timescales. For a disruption with a well-resolved light curve, models permit a significant reduction of the number of potential combinations of star and black hole properties, enabling a better characterization of the massive black hole and the dense stellar clusters that surround them. The TMT will allow the detection and study of TDEs up to much higher redshifts than previously possible. Because of the “negative” K-correction (TDEs emitting primarily in the restframe UV with a characteristic 105 K black body) TDEs will be visible by TMT to redshifts of 6 or larger, enabling constraints on SMBH properties and evolution over a vast range of cosmic time.

Time Domain Studies og AGN and Blazar Variability
Kepler lightcurve of Seyfert Zw 229-15

Top left: Kepler lightcurve of Seyfert Zw 229-15 and, Right: The power spectrum indicating that the fastest variations are on a timescale of ~2hr. Bottom left: The Kepler lightcurve of BL Lac kplr006690887 showing fast flares and, Right: The power spectrum indicating that the fastest variations are faster than the 26 min rest frame probed by Kepler.

Blazars, the most extreme variety of AGN and the most luminous long-lived individual objects in the universe, are powered by accretion of gas onto supermassive (~108±2 Mʘ) black holes (BHs). A pair of oppositely directed jets of magnetized, high-energy plasma continuously flow outward at speeds up to ~0.998c, presumably along the rotational poles of the BH system. Since the radiation observed from blazars is non-thermal and the luminosities are so high yet extremely time-variable, electrons (including any positrons) in the jet must be accelerated with high efficiency to energies exceeding ~104 to 105 mc2 as blazars are seen to emit TeV gamma-rays. Shock waves, turbulence, and magnetic reconnections have all been proposed as the main means of particle acceleration, and all three might be operating inside relativistic jets. The efficiency of particle acceleration by these processes is strongly dependent on the magnetic field geometry. In the case of shocks, charged particles follow the magnetic field lines back and forth across the shock front. The efficiency of acceleration depends on the angle that the magnetic field subtends to the shock. In MHD turbulence, the energization occurs statistically as particles bounce off randomly moving regions of stronger-than-average magnetic fields. In reconnections, particles become trapped in shrinking magnetic flux tubes or in converging, oppositely directed field lines created by current sheets. Each of these processes has a different signature of time-variable linear polarization: in shocks, a favored polarization direction parallel to the shock front during peaks in flux; in turbulence, low, rapidly fluctuating polarization vectors with higher amplitudes of variations on longer time-scales; and in reconnections, polarization in a direction that remains stable during a flare but changes from one flare to the next. Discerning among these possibilities requires precise spectro-polarimetric monitoring on time scales as short as a few minutes with the TMT in order to measure fluctuations in polarization and flux on. This will determine the power spectrum of the fluctuations down to small size scales, testing emerging models of particle acceleration and blazar variability (e.g., Sironi & Spitkovsky 2014, Marscher 2014). It will be particularly important to follow with the TMT the changes in optical/near-IR polarization during the night of a blazar being observed by the future Cherenkov Telescope Array in order to relate acceleration of the highest-energy electrons to the magnetic field direction.

Variability of AGN in the optical is typically about 10% over all timescales from less than an hour to years. There is a wide range of stochastic behavior between different AGN. Fully characterizing the stochastic properties of spectro-photometric measurements is vital to refining the model for the emission process and discerning between the possible AGN emission mechanisms. 

The Thirty Meter Telescope will provide new capabilities for studying the structure of AGN. Moderate resolution optical and mid-IR spectra will make it possible to observe rapid changes in the spectral features of nearby AGN on timescales as short as ~1 hour, sampling every few minutes, allowing us to map out the structure of the accretion disk and broad-line regions with great accuracy and providing new insights into the structure of the jet region. TMT’s instruments will also be able to probe the structure of the accretion disk region by performing rapid optical and mid-IR observations (tsamp~10mins) to carry out reverberation mapping. Observational evidence (Bhatta, et al., 2013) has led to the development of a model for micro-variability that predicts variations on timescales of less than 30 seconds, these predictions are supported by Webb, et al., 2014 but the full investigation is severely limited by the need for high S/N optical and NIR low resolution wide wavelength coverage spectro-photometry with tsamp~1s to 3s.

Cataclysmic Variables
Continuum light-curves of a small flare seen in the Dwarf Nova SS Cyg.

Continuum light-curves of a small flare seen in the Dwarf Nova SS Cyg. Observations were made withKeck/ LRIS. Light curves are 3615A (dot-dashed), 4225A (dashed), 5500A (solid) and 7320A (dotted).

Accretion is a very common process in astrophysical systems but is very poorly understood. CV accretion discs are a very convenient laboratory for studying the angular momentum dissipation mechanism and the relation between dissipation and disc density, temperature, magnetic field and radial velocity profile. CVs display rapid variability related to the accretion process that has timescales from sub-second to hours due to a number of reasons; interactions of the disc and mass transfer stream, processes in the accretion disc itself (as modeled by Ribeiro & Diaz, 2008) and accretion onto the compact primary, which may be influenced by magnetic fields. The location of the source of the variability can be isolated by studying the temporal variations in the velocity of the emission and in some systems by eclipse mapping. Combining the velocity and temporal information from time resolved spectroscopy with the method of eclipse mapping and monitoring disc changes on a weekly basis will transform our understanding of the processes occurring within CV accretion discs, particularly in systems whose discs display changes in state or have regular outbursts on timescales of months.

For example, in rapid (72ms) spectroscopic observations of a bright (Mv~11) dwarf nova short (2 to 3 minute) flares were found whose temporal and spectroscopic behavior were consistent with arising in the accretion disc  and could be described with a Fireball model (Pearson et al. 2005). From broad band photometry Baptista & Bortoletto (2008) and Baptista et al. (2011) respectively derived the spatial distribution of flickering in the discs of the nova-like UU Aqr and the systematic changes in the flickering distribution across the disc through an outburst of the dwarf nova HT Cas when the disc collapsed.

Time resolved optical spectrometry with WFOS with R=4000, duration about 20 minutes centered on mid-eclipse and tsamp=50ms will give S/N~1000 in each resolution element for Mv~15. At this magnitude there are an order of 100 eclipsing CVs (http://www.mpa-garching.mpg.de/RKcat/cbcat) that show a range of different accretion disc behaviors, allowing the development of a comprehensive understanding of accretion disc physics that is impossible to obtain with existing facilities.

Contact
The science case for each science theme is developed and implemented by a dedicated international science development team (ISDT). Scientists from around the world interested to join a particular ISTD should contact the respective convener. 

Conveners
Guy Stringfellow (University of Colorado)
Masaomi Tanaka (Tohoku University)

 

Quick Links

 

Documents
There are currently no documents in this section.